• Здравствуйте, помогите пожалуйста решить домашнее задание по теме : «Иррациональные уравнения».

    Найдите корни уравнения.

    question img

Ответы 1

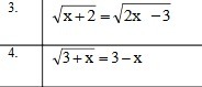
  • 3. √х+2 = √2х-3Найдем область определения:х+2≥0  ⇒ х ≥ -2   2х-3≥0 ⇒ х ≥1,5  , х∈(1,5; +∞) - область определения(√х+2 )² =( √2х-3)²х+2 = 2х-32х-х = 2+3х=5   Ответ: х=54) √3+х = 3-х    найдем область определения: 3 +х ≥0 ⇒  х≥  -3х∈(-3; +∞) - область определения(√3+х )² = (3-х)²3+х = 9 -6х + х²х² -6х-х+9-3=0х²-7х+6=0D = 49 -24 =25 > 0 ⇒ два корнях₁ = 6х₂ = 1Ответ: х₁ = 6  х₂ = 1
    • Автор:

      jaxonzifx
    • 6 лет назад
    • 0
  • Добавить свой ответ

Еще вопросы

Войти через Google

или

Забыли пароль?

У меня нет аккаунта, я хочу Зарегистрироваться

How much to ban the user?
1 hour 1 day 100 years