• Здравствуйте, помогите пожалуйста решить домашнее задание по теме : «Иррациональные уравнения».

    Найдите корни уравнения.

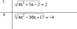
    question img

Ответы 1

  • 5) √4х² +5х -2 = 24х² +5х -2≥0 , сначала решим уравнение4х² +5х -2=0D =25+32=57х₁ = (-5-√57)/8 ≈ -1,6х₂ = (-5+√57)/8 ≈ 0,3      +                    -                +________|___________|________             -1,6                  0,3х∈( -∞; -1,6] ∪ [0,3; +∞) - область определения(√4х² +5х -2)² = 2²4х²+5х -2 -4=04х² +5х -6 =0D =25+96 =121,  √121 = 11х₁ = (-5-11)/8 = -2х₂ = (-5+11)/8 = 0,75 Ответ: -2,  0,756) х∈(-∞; +∞) - область определения  ( так корень пятой степени, то под корнем может быть и отрицательное число) (\sqrt[5]{4x^2-36x+17})^5 = (-4)^5 4x² -36x +17 = -10244x² -36x +17 +1024=04x² -36x +1041 =0D/4 = 324 - 4164 = -3840 < 0 - корней нет
    • Автор:

      salomón
    • 6 лет назад
    • 0
  • Добавить свой ответ

Еще вопросы

Войти через Google

или

Забыли пароль?

У меня нет аккаунта, я хочу Зарегистрироваться

How much to ban the user?
1 hour 1 day 100 years