• Здравствуйте, помогите пожалуйста решить домашнее задание по теме:
    «Системы уравнений».

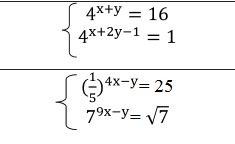
    question img

Ответы 2

  • картинка загрузилась?
  • *********************************
    answer img
  • Добавить свой ответ

Войти через Google

или

Забыли пароль?

У меня нет аккаунта, я хочу Зарегистрироваться

How much to ban the user?
1 hour 1 day 100 years