Ответы 1

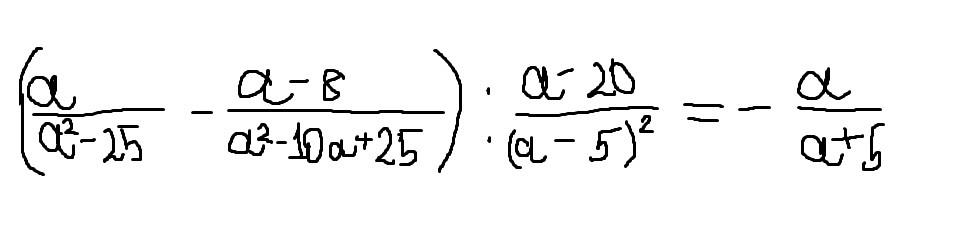
  • 1). а/(а²-25) -(а-8)/(а-5)²=(а(а-5)-(а-8)(а+5))/(а-5)²(а+5)=(а²-5а-а²-5а+8а+40)/(а-5)²(а+5)=(-10а+8а+40)/(а-5)²(а+5)=(-2а+40)/(а-5)²(а+5)=-2(а-20)/(а-5)²(а+5)2). теперь 1).разделим на (а-20)/(а-5)²=-2/(а+5)тождество доказано 
    • Автор:

      hamza5jpy
    • 6 лет назад
    • 0
  • Добавить свой ответ

Войти через Google

или

Забыли пароль?

У меня нет аккаунта, я хочу Зарегистрироваться

How much to ban the user?
1 hour 1 day 100 years