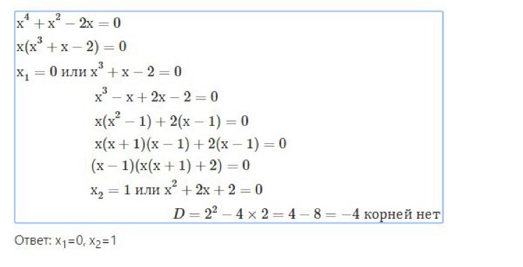
• Объясните, пожалуйста, как это решено
    Подробно

    question img

Ответы 1

  • 1)вынесли общий множитель за скобки2)метод групировки (как бы,удобнеее решить в данном случае)3)по формуле разложили :(а^2-b^2)=(a-b)(a+b)4)выносим общий множитель5)находим корни (если возможно)6)решаем через дискрименант и находим корни)
    • Автор:

      hawk55
    • 6 лет назад
    • 0
  • Добавить свой ответ

Войти через Google

или

Забыли пароль?

У меня нет аккаунта, я хочу Зарегистрироваться

How much to ban the user?
1 hour 1 day 100 years