• Помогите пожалуйста решить!
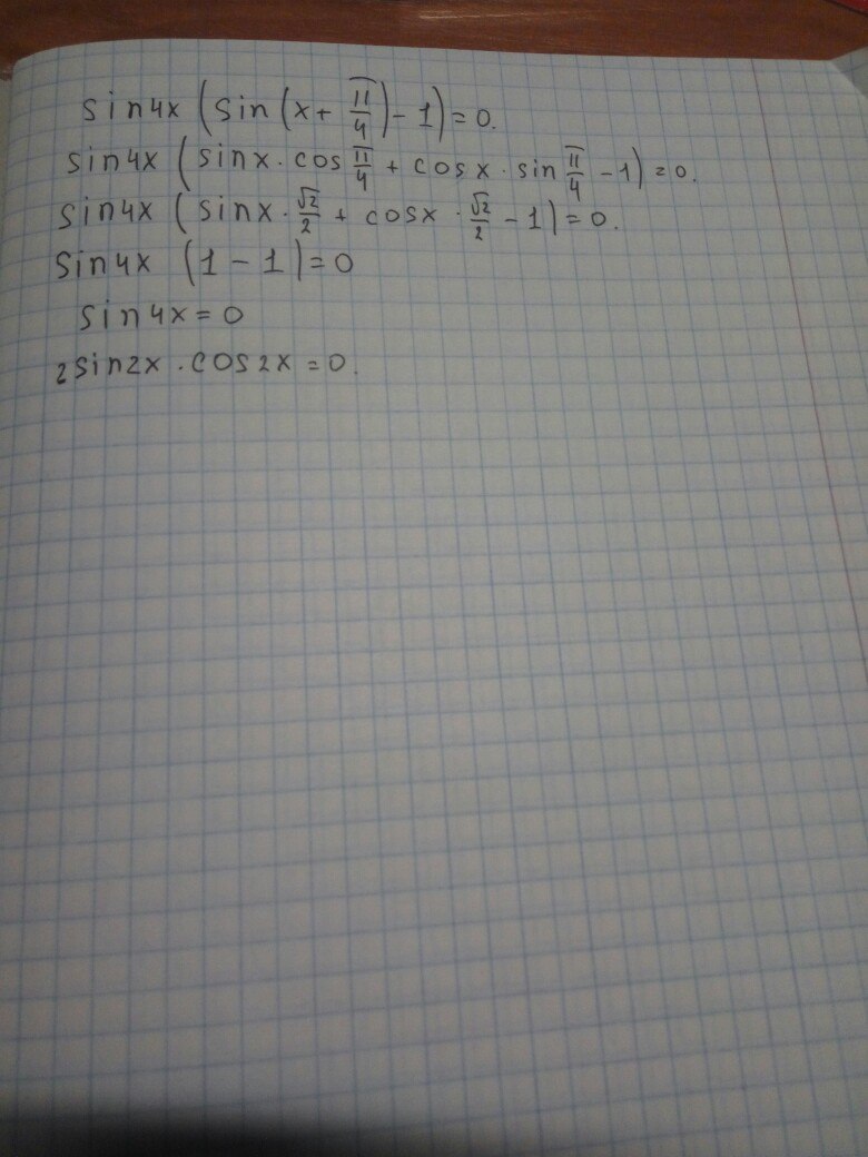
    Sin4x (sin (x+п/4)-1)=0

    question img

Ответы 1

  • Вот, как получилось у меня, думаю, так правильно.Пиши, если не понял, объясню 
    answer img
    • Автор:

      kujokirby
    • 2 года назад
    • 3
  • Добавить свой ответ

Войти через Google

или

Забыли пароль?

У меня нет аккаунта, я хочу Зарегистрироваться

How much to ban the user?
1 hour 1 day 100 years