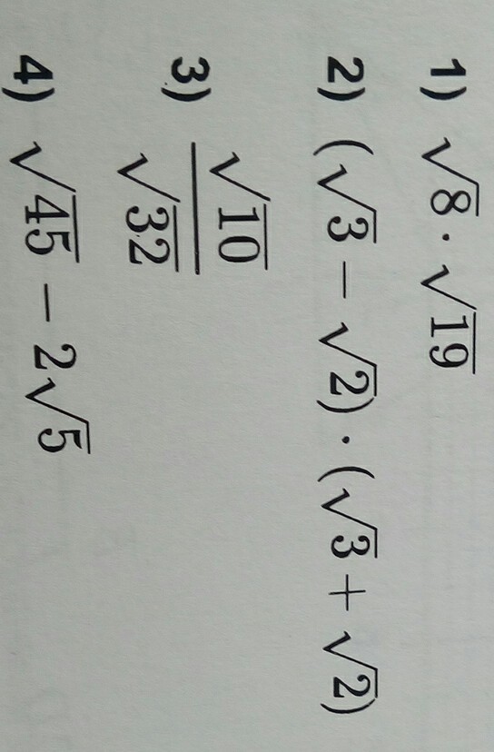
• значение какого из выражений является числом рациональным

    question img

Ответы 2

  • спасибо
  • будет второй)раскрываем скобки,получается в квадрате и сокращаем
  • Добавить свой ответ

Войти через Google

или

Забыли пароль?

У меня нет аккаунта, я хочу Зарегистрироваться

How much to ban the user?
1 hour 1 day 100 years