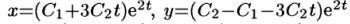
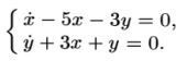
• Пожалуйста, помогите решить систему диф.ур.
    Решение уже есть. Нужен сам ход решения.

    question img
    question img

Ответы 1

  • Всё верно, подстановка показала верный ход.
  • Добавить свой ответ

Войти через Google

или

Забыли пароль?

У меня нет аккаунта, я хочу Зарегистрироваться

How much to ban the user?
1 hour 1 day 100 years