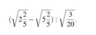
• Решите для примера. Корни. Чтобы я смогла решить остальные номера сама.

    question img
    question img

Ответы 1

  • Как-то так. Ворое решается по формуле разности квадратов, все ее знают.
    answer img
  • Добавить свой ответ

Еще вопросы

Войти через Google

или

Забыли пароль?

У меня нет аккаунта, я хочу Зарегистрироваться

How much to ban the user?
1 hour 1 day 100 years