• Решите уравнение.
    Пожалуйста помогите!!!!!!

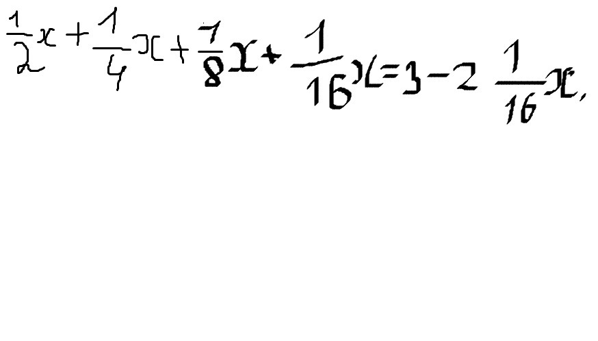
    question img

Ответы 3

  • СПАСИБО БОЛЬШОЕ!
    • Автор:

      kaitlyn
    • 5 лет назад
    • 0
  • )пожалуйста
  • 8/16х + 4/16х + 2/16х + 1/16х=3- 33/16х;15/16х = 3- 33/16х;15/16х + 33/16х = 3;48/16х=3;3х=3;Х=3:3;Х=1.------------Ответ: х=1.
  • Добавить свой ответ

Войти через Google

или

Забыли пароль?

У меня нет аккаунта, я хочу Зарегистрироваться

How much to ban the user?
1 hour 1 day 100 years