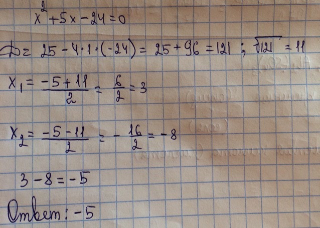
• найдите сумму большего и меньшего корней уравнения x 2 + 5x - 24 =0

Ответы 1

  • ДержиЕсли X 2 у тебя X^2,то я правильно поняла
    answer img
    • Автор:

      corey514
    • 2 года назад
    • 3
  • Добавить свой ответ

Войти через Google

или

Забыли пароль?

У меня нет аккаунта, я хочу Зарегистрироваться

How much to ban the user?
1 hour 1 day 100 years