• Помогите, кто может решить
    ЛОГАРИФМИЧЕСКИЕ НЕРАВЕНСТВА

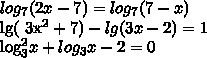
    :c



    question img

Ответы 2

  • И позволю себе сделать исправление: это уравнения. Неравенства - выражения, содержащие знаки "<", ">","⩾","⩽","≠".
    • Автор:

      janae
    • 6 лет назад
    • 0
  • Минимум 20 символов тут.
    answer img
  • Добавить свой ответ

Еще вопросы

Войти через Google

или

Забыли пароль?

У меня нет аккаунта, я хочу Зарегистрироваться

How much to ban the user?
1 hour 1 day 100 years