• Помогите, кто может решить
    ЛОГАРИФМИЧЕСКИЕ НЕРАВЕНСТВА

    :c

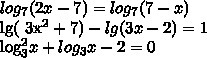
    question img

Ответы 1

  • Применены свойства логарифмов
    answer img
    • Автор:

      york
    • 6 лет назад
    • 0
  • Добавить свой ответ

Войти через Google

или

Забыли пароль?

У меня нет аккаунта, я хочу Зарегистрироваться

How much to ban the user?
1 hour 1 day 100 years