• Геометрическая прогрессия, система

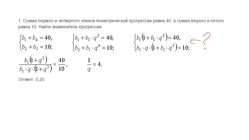
    Объясните, пожалуйста, как в третьем действии вынесли за скобки и вообще откуда там один ? Я в упор не понимаю

    question img

Ответы 2

  • а откуда единицы взялись?
  • при вынесении общего множителя, если других множителей нет ставят единицу. пример: ас+с= с(а+1)
    • Автор:

      skyler4
    • 6 лет назад
    • 0
  • Добавить свой ответ

Войти через Google

или

Забыли пароль?

У меня нет аккаунта, я хочу Зарегистрироваться

How much to ban the user?
1 hour 1 day 100 years