• Помогите ,пожалуйста
    Найти общее решение дифференциального уравнения

    3x^2y-y^3)dx+(x^3-3y^2 x)dy=0
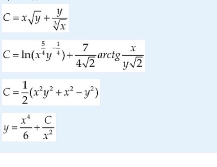
    Варианты ответов на фото

    question img

Ответы 1

  • Похоже на ответ первый, то есть:C=x \sqrt{y} + \frac{y}{ \sqrt[3]{x} } Тем не менее, при решении получается ответ: C=x³-3xy²
  • Добавить свой ответ

Еще вопросы

Войти через Google

или

Забыли пароль?

У меня нет аккаунта, я хочу Зарегистрироваться

How much to ban the user?
1 hour 1 day 100 years