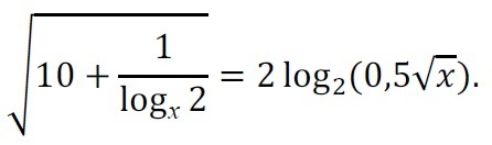
• Найдите произведение корней или корень, если он единственный

    question img

Ответы 1

  • Обозначим логарифм по основанию 2 от х через у.sqrt(10+y)=-2+y10+y=4-4y+y^2y^2-5y=6(y-2,5)^2=3,5*2y=6  или y=-1Подстановкой убеждаемся, что корень у=-1 не подходит ( при переходе от первого выражения ко второму возможна потеря знака). Корень у=6 подходит.  x=2^6=64 Проверяя ОДЗ, убеждаемся, что  корень подходит.Корень единственный. Ответ: 64
    • Автор:

      jamison
    • 6 лет назад
    • 0
  • Добавить свой ответ

Войти через Google

или

Забыли пароль?

У меня нет аккаунта, я хочу Зарегистрироваться

How much to ban the user?
1 hour 1 day 100 years