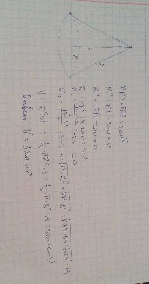
• МНОГО БАЛЛОВ!!!!!!!!Площадь полной поверхности конуса равна 200 см2
    , а
    его образующая – 17 см. Найти объем конуса.

Ответы 1

  • площадь должна быть 200 \pi
    answer img
  • Добавить свой ответ

Войти через Google

или

Забыли пароль?

У меня нет аккаунта, я хочу Зарегистрироваться

How much to ban the user?
1 hour 1 day 100 years