• Добрый вечер, друзья. Буду очень признательна с подробным объяснением следующего задания:


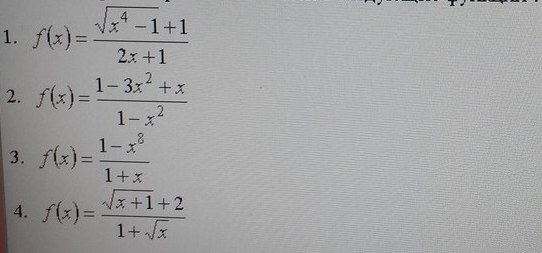
    Конечный предел при х-> + бесконечность имеют следующие функции

    question img

Ответы 2

  • Спасибо,спасибо за столь подробный,развернутый ответ!!!
  • При x->+∞ имеем неопределённость ∞/∞. Пределы легко берутся, если числитель и знаменатель делить на одинаковую степень икса (в каждом случае своя).1. Разделим числитель и знаменатель на икс. В числителе икс придётся заносить под квадратный корень:(Числитель)/x = (√(x^4 - 1) + 1)/x = √(x^4 - 1) /x + 1/x = = √((x^4 - 1)/x^2) + 1/x = √(x^2 - 1/x^2) + 1/xТеперь, если икс устремить в плюс бесконечность, то увидим, что1/x^2 -> 0; 1/x -> 0. Останется только √(x^2 - 0) + 0 = √x^2 = x.Итак, после проделанных действий видно, что Числитель по-прежнему стремится к бесконечности. Но мы ещё не разделили на икс знаменатель:(Знаменатель)/x = (2x + 1)/x = 2 + 1/x. При х -> ∞ к нулю стремится 1/х ->∞. Останется только (2 + 0) = 2. Вот мы и избавились от бесконечности в знаменателе. В итоге бесконечность делится на 2, что всё равно будет бесконечность.Предел равен бесконечности.      √(x^4 - 1)/x + 1/x           √(x^4 / x^2 - 1/x^2) + 1/xlim ------------------------ = lim --------------------------------- =          2x / x + 1/x                            2 + 1/x      √(x^2 - 1/x^2) + 1/x      √(∞ - 0) + 0lim -------------------------- = ------------------ = +∞               2 + 1/x                      2 + 02. Здесь числитель и знаменатель делим на x^2:      1/x^2 - 3x^2 / x^2 + x / x^2          1/x^2 - 3 + 1/x     0 - 3 + 0lim ----------------------------------- = lim -------------------- = ------------ = 3         1/x^2 - x^2 / x^2                           1/x^2 - 1             0 - 1Здесь сразу вместо икса подставлена бесконечность. 3. Числитель и знаменатель делим на икс:      1/x - x^8 / x           1/x - x^7     0 - ∞lim ---------------- = lim ------------ = --------- = -∞        1/x + x / x             1/x + 1       0 + 14. Числитель и знаменатель делим на корень из икса:      √(x+1) / √x + 2/√x           √(x/x + 1/x) + 2/√x            √(1+1/x) + 2/√xlim ------------------------ = lim -------------------------- = lim ---------------------- =        1/√x + √x / √x                      1/√x + 1                            1/√x + 1    √1 + 0= ---------- = 1      0 + 1Корень из бесконечности тоже бесконечность.Как могли заметить, числитель и знаменатель делили на такую степень, чтобы избавиться от наивысшей степени в знаменателе.
    • Автор:

      marcjnxv
    • 6 лет назад
    • 0
  • Добавить свой ответ

Еще вопросы

Войти через Google

или

Забыли пароль?

У меня нет аккаунта, я хочу Зарегистрироваться

How much to ban the user?
1 hour 1 day 100 years