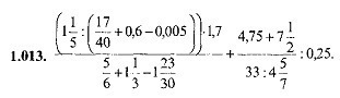
• Помогите решить по действия!!ответ должен быть ,,12,,дам 25б

    question img

Ответы 3

  • спасибо
    • Автор:

      laneynr2v
    • 5 лет назад
    • 0
  • пожалуйста!
  • !!!!!!!!!!!!!!!!!!!!!!!!
    answer img
  • Добавить свой ответ

Войти через Google

или

Забыли пароль?

У меня нет аккаунта, я хочу Зарегистрироваться

How much to ban the user?
1 hour 1 day 100 years