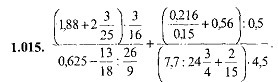
• Решите пожалуйста по действиям!!ответ должен быть,,4,,даю 20б

    question img

Ответы 2

  • спасибо большое
    • Автор:

      cohen9
    • 5 лет назад
    • 0
  • :))))))))))))))))))))))))
    answer img
  • Добавить свой ответ

Войти через Google

или

Забыли пароль?

У меня нет аккаунта, я хочу Зарегистрироваться

How much to ban the user?
1 hour 1 day 100 years