• Помогите, пожалуйста, решить задачу по математике. Буду очень благодарен!

    question img

Ответы 2

  • Спасибо огромное!
    • Автор:

      amosv4ff
    • 6 лет назад
    • 0
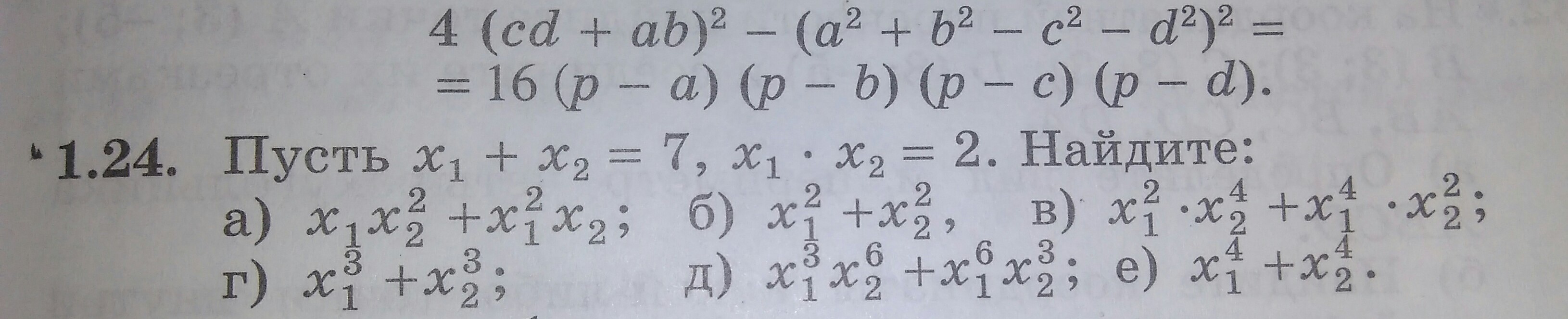
  • x_1+x_2=7;\ x_1x_2=2а) x_1x_2^2+x_1^2x_2=x_1x_2(x_2+x_1)=2\cdot 7=14б) x_1^2+x_2^2=(x_1+x_2)^2-2x_1x_2=7^2-2\cdot 2=49-4=45в) x_1^2x_2^4+x_1^4x_2^2=(x_1x_2)^2(x_2^2+x_1^2)=2^2\cdot 45=4\cdot 45=
180г) x_1^3+x_2^3=(x_1+x_2)(x_1^2-x_1x_2+x_2^2)=7\cdot (45-2)=301д) x_1^3x_2^6+x_1^6x_2^3=(x_1x_2)^3(x_2^3+x_1^3)=2^3\cdot 301=2408е) x_1^4+x_2^4=(x_1^2+x_2^2)^2-2(x_1x_2)^2=45^2-2\cdot 2^2=2017
  • Добавить свой ответ

Еще вопросы

Войти через Google

или

Забыли пароль?

У меня нет аккаунта, я хочу Зарегистрироваться

How much to ban the user?
1 hour 1 day 100 years