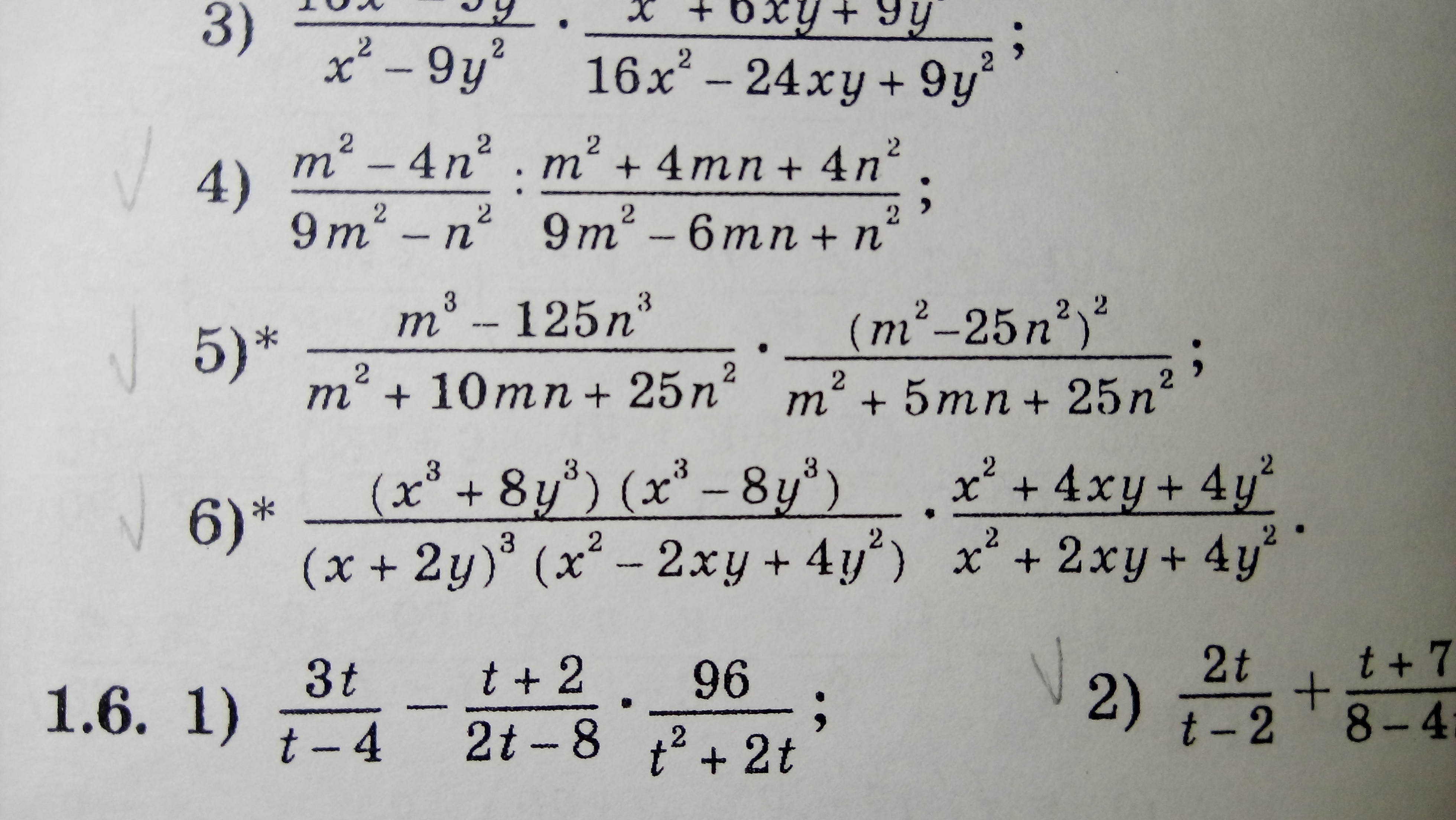
• Помогите пожалуйста решить пример 5 и 6, желательно расписать решение на листике.

    question img

Ответы 7

  • Спасибо большое,очень помог)
  • я могу что то ещё решить
  • вообще не трудно
    • Автор:

      mekhihr38
    • 6 лет назад
    • 0
  • я это за 5 минут сделал
  • сделай его лучшим ,пж
    • Автор:

      marquise
    • 6 лет назад
    • 0
  • Всё подробно расписал))я начал с решения не стал переписывать пример
    answer img
  • 5(m-5n)(m²+5mn+25n²)/(m+5n)² *(m-5n)²(m+5n)²/(m²+5mn+25n²)==(m-5n)³6(x+2y)(x²-2xy+4y²)(x-2y)(x²+2xy+4y²)/(x+2y)³(x²-2xy+4y²)*(x+2y)²/(x²+2xy+4y²)=x-2y
    answer img
    • Автор:

      maxine
    • 6 лет назад
    • 0
  • Добавить свой ответ

Войти через Google

или

Забыли пароль?

У меня нет аккаунта, я хочу Зарегистрироваться

How much to ban the user?
1 hour 1 day 100 years