• объясните как производится такое преобразование пожалуйста

    question img

Ответы 2

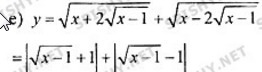
  • известна формула:  \sqrt{ x^{2} } =|x| под обоими корнями полные квадраты...это подсказывает удвоенное произведение:  2*\sqrt{x-1} =2*1* \sqrt{x-1}  т.е. первое слагаемое в формуле это 1, второе слагаемое в формуле это √(х-1)...проверим: (1 + √(х-1))² = 1² + 2*1*√(х-1) + (√(х-1))² = 1 + 2√(х-1) + х-1 = = 2√(х-1) + х под первым корнем "квадрат суммы", под вторым - "квадрат разности" и под модулем (см. первую формулу)
    • Автор:

      tran
    • 6 лет назад
    • 0
  • task/24977446           --------------------Как производится такое преобразование y = √( x +2√(x-1) )+√( x -2√(x-1) ) = |√( x -1) +1|+|√( x -1) -1| .--------y = √( x +2√(x-1) )+√( x -2√(x-1) ) =√( ( x -1) +2√(x-1)*1 +1 ) +√( ( x -1) -2√(x-1)*1 +1 )=√(√( x -1) +1)² +√(√( x -1) -1)²  = |√( x -1) +1|+|√( x -1) -1| .D(y) : [ 1; ∞)* * * * * * * * * * * * * * * * *|√( x -1) +1| = √( x -1) +1 ; |√( x -1) -1| = √( x -1) -1 , если x ≥2 ;|√( x -1) -1| = -(√( x -1) -1) , если x <2.Получается :y =2 , если  1 ≤ x < 2 ;y =2√( x -1) , если x ≥2 .!!!   √(a-b)² =√(b-a)²        =  |a-b|
  • Добавить свой ответ

Войти через Google

или

Забыли пароль?

У меня нет аккаунта, я хочу Зарегистрироваться

How much to ban the user?
1 hour 1 day 100 years