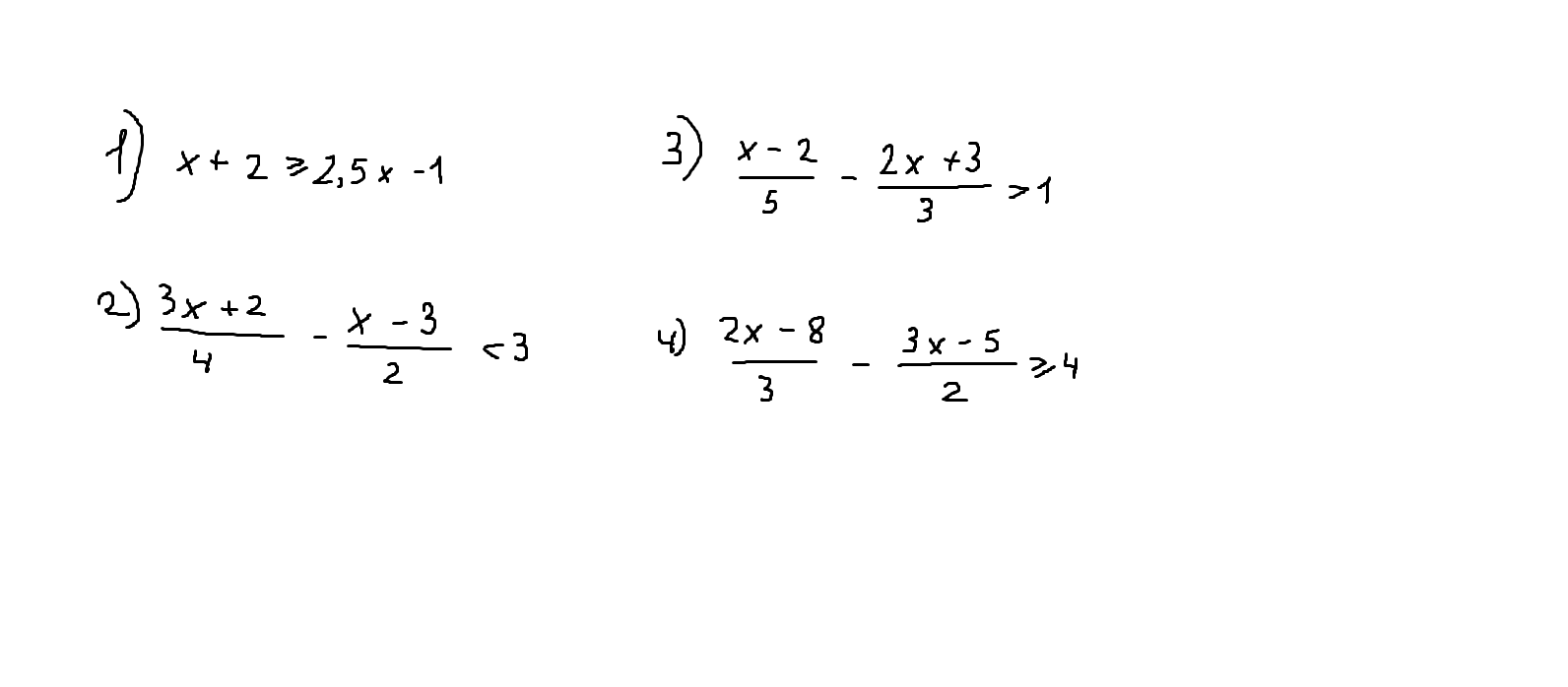
• ребят помагите пожалуста решить задание нужно найти наибольшее целое решение неравенства задание во вложении помагите пожалуста 

    question img

Ответы 3

  • спс большое
    • Автор:

      duncegsq4
    • 6 лет назад
    • 0
  • вот, вроде как-то так.......)
    answer img
    • Автор:

      raven40
    • 6 лет назад
    • 0
  • Решение на фото                                                                  
    answer img
  • Добавить свой ответ

Еще вопросы

Войти через Google

или

Забыли пароль?

У меня нет аккаунта, я хочу Зарегистрироваться

How much to ban the user?
1 hour 1 day 100 years