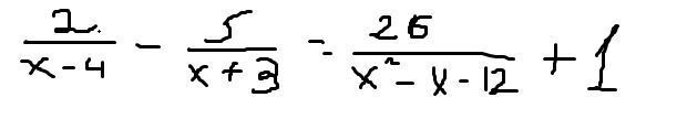
• Помогите решить уравнение
    (говорили что нужно как то использовать формулу a(x-x1)(x-x2)

    question img

Ответы 2

  • Подскажите, что такое в формуле а?
  • Уже поняла)
  • Добавить свой ответ

Войти через Google

или

Забыли пароль?

У меня нет аккаунта, я хочу Зарегистрироваться

How much to ban the user?
1 hour 1 day 100 years