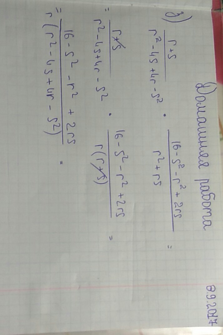
• Помогите пожалуйста,я немного упростил,а дальше застрял,помогите упростить.

    question img

Ответы 1

  • В числителе второй дроби16 - s² - r² + 2*r*s = 16 - (s+r)² = (4-s+r)*(4+s+r)В знаменателе первойr²-4s+4r-s² = r(r+4) -s*(s+4)
    • Автор:

      evelyn40
    • 6 лет назад
    • 0
  • Добавить свой ответ

Войти через Google

или

Забыли пароль?

У меня нет аккаунта, я хочу Зарегистрироваться

How much to ban the user?
1 hour 1 day 100 years