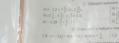
• Ребят, нужно решить в первом задании первый пример. И задание номер два, желательно подробно. Заранее спасибо)

    question img

Ответы 4

  • 1,8 * (4 - 2 * 5\32) + 0,4 * 5\32 - 6,2
    • Автор:

      jaeden
    • 6 лет назад
    • 0
  • 1,8 * (4 - 10\32) + 1\8 - 6,2
    • Автор:

      sissy8lnp
    • 6 лет назад
    • 0
  • простите комментарии не правильные
  • (-2,5 +3,2\3) : (-2, 11\12)(-25\10 + 11\3) : (-35\12)(-75\30 + 110\30) : (-35\12)35\30 : (-35\12)35\30 * (-12\35) = - 12\30 = - 6\15 = - 2\5 = -0,4
  • Добавить свой ответ

Войти через Google

или

Забыли пароль?

У меня нет аккаунта, я хочу Зарегистрироваться

How much to ban the user?
1 hour 1 day 100 years