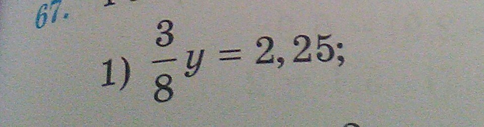
• Помогите номер 67 (1 уравнение)
    Решите уравнение, используя свойство верного числового равенства

    question img

Ответы 1

  • У нас не так переводится обыкновенная дробь в десятичную
    • Автор:

      serena
    • 6 лет назад
    • 0
  • Добавить свой ответ

Войти через Google

или

Забыли пароль?

У меня нет аккаунта, я хочу Зарегистрироваться

How much to ban the user?
1 hour 1 day 100 years