• Здравствуйте, помогите решить домашнее задание по теме:
    «Показательные уравнения».

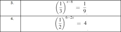
    Найдите корни уравнения:

    question img

Ответы 2

  • x1 = 10, т.к. 10-8 = 2, а ( \frac{1}{3}) ^{2} = \frac{1}{9} x2 = 4, т.к. 6-2*4 = -2. При отрицательной степени дробь переворачивается. (\frac{1}{2})^-2= \frac{4}{1} или просто 4
    • Автор:

      alex566
    • 6 лет назад
    • 0
  •  ( \frac{1}{3} )^{x-8} = \frac{1}{9}  \\  \\  ( \frac{1}{3} )^{x-8} =  ( \frac{1}{3} )^{2} \  \\ x-8=2 \\ x=10 ( \frac{1}{2})^{6-2x}=4 \\  \\ 2^{2x-6} = 2 ^{2}  \\ 2x-6=2 \\ 2x=8 \\ x=4
    • Автор:

      titovacd
    • 6 лет назад
    • 0
  • Добавить свой ответ

Войти через Google

или

Забыли пароль?

У меня нет аккаунта, я хочу Зарегистрироваться

How much to ban the user?
1 hour 1 day 100 years