• Здравствуйте, помогите решить домашнее задание по теме:
    «Показательные уравнения».

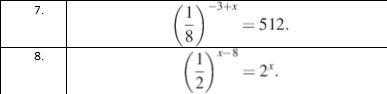
    Найдите корни уравнения:

    question img

Ответы 1

  • 7) x = 0, т.к. -3+x = -3. При отрицательной степени дробь переворачивается и возводится в степень. 8^3 = 512, т.е. (\frac{x}{y})^{-3+x} = \frac{512}{1} = 5128) x = 7, т.к. 7-8 = -1. Опять переворачивается дроб и т.д. (\frac{1}{2})^{x-8}=\frac{2}{1}=2
    • Автор:

      kinsley
    • 6 лет назад
    • 0
  • Добавить свой ответ

Войти через Google

или

Забыли пароль?

У меня нет аккаунта, я хочу Зарегистрироваться

How much to ban the user?
1 hour 1 day 100 years