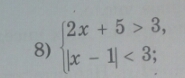
• решите систему линейных неравенств с одной переменной мне нужно 2 варианта а и б

    question img

Ответы 1

  • там сверху число 66, это к решению не относится
    answer img
    • Автор:

      stella10
    • 6 лет назад
    • 0
  • Добавить свой ответ

Войти через Google

или

Забыли пароль?

У меня нет аккаунта, я хочу Зарегистрироваться

How much to ban the user?
1 hour 1 day 100 years