• Здравствуйте, помогите решить домашнее задание по теме :
    «Производная и её применение . Первообразная.»

    Подробно, полностью и качественно.

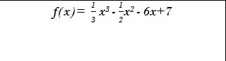
    Найдите точки экстремума функции:

    question img

Ответы 1

  • Берем производнуюf'(x)=x²-x-6Приравниваем её к нулю. Корни и будут точками экстремума . x²-x-6=0D=1+4*6=25x₁=(1-5)/2=-2x₂=(1+5)/2=3
    • Автор:

      marisa
    • 6 лет назад
    • 0
  • Добавить свой ответ

Войти через Google

или

Забыли пароль?

У меня нет аккаунта, я хочу Зарегистрироваться

How much to ban the user?
1 hour 1 day 100 years