• Здравствуйте, помогите решить домашнее задание по теме :
    «Производная и её применение . Первообразная.»

    Подробно, полностью и качественно.

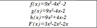
    Для какой из функций f(x),g(x),h(x) функция F(x) является первообразной?

    question img

Ответы 2

  • Я не знаю как решать, но как - то не подробно: з
    • Автор:

      levi684
    • 6 лет назад
    • 0
  • F'(x)=9x²-4x-2Ответ: g(x)
  • Добавить свой ответ

Еще вопросы

Войти через Google

или

Забыли пароль?

У меня нет аккаунта, я хочу Зарегистрироваться

How much to ban the user?
1 hour 1 day 100 years