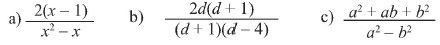
• При каких условиях рациональное выражение имеет смысл?

    question img

Ответы 1

  • 1)x не должно равняться 0 или 12)d не должно равняться -1 или 43) a I b не должно равняться 1
    • Автор:

      melody91
    • 6 лет назад
    • 0
  • Добавить свой ответ

Войти через Google

или

Забыли пароль?

У меня нет аккаунта, я хочу Зарегистрироваться

How much to ban the user?
1 hour 1 day 100 years