• Помогите пожалуйста решить!
    Не могу нарисовать график функции и точки подобрать не могу..((

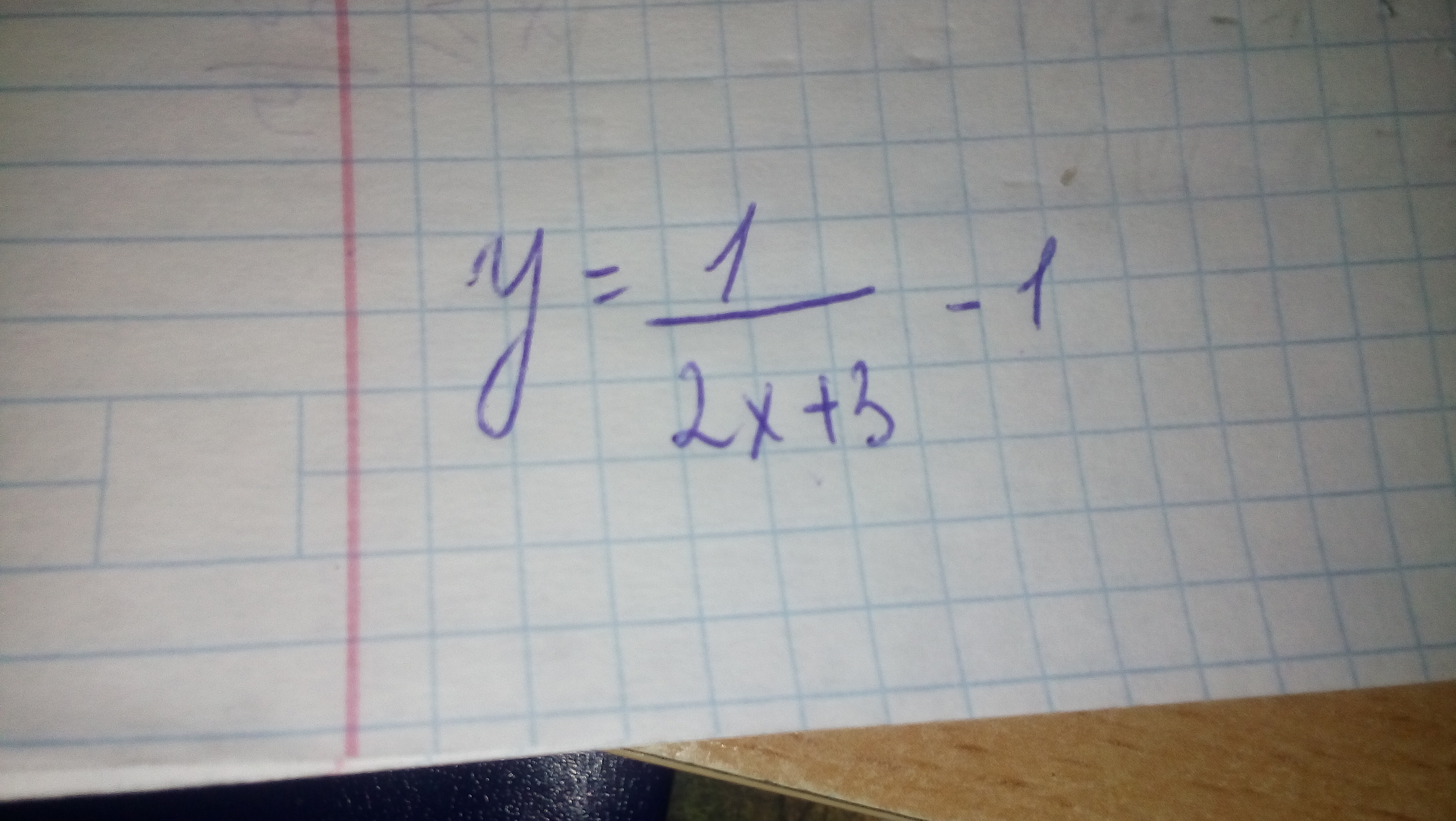
    question img

Ответы 1

  • х=0          у=минус одна целая одна третья= -1,3Рисуем график.  Первая точка на оси Х 0. Вторая точка на оси У -1,3.Графиком является прямая. Проведем через эти точки прямую и готово!Надеюсь график строить ты умеешь. 
  • Добавить свой ответ

Войти через Google

или

Забыли пароль?

У меня нет аккаунта, я хочу Зарегистрироваться

How much to ban the user?
1 hour 1 day 100 years