• Алгебра. Рациональные дроби. Помогите пожалуйста, завтра сдавать

    question img

Ответы 1

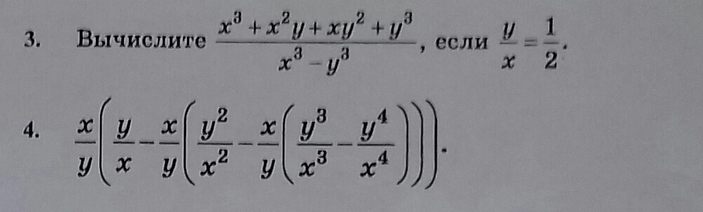
  • 1)Вместо x пишем 2yчислитель  8y^3+4y^3+2y^3+y^3=15y^3Знаменатель  8y^3-y^3=7y^3Ответ:  15/72) Вместо х/у пишем а.Раскрываем первую скобку:1-a^2*((1/a^2)-a*(1-1/a)/a^3)=1-1+(1-1/a)=1-1/aВспомнив, обозначение, получим 1-у/х
    • Автор:

      foxy mama
    • 6 лет назад
    • 0
  • Добавить свой ответ

Войти через Google

или

Забыли пароль?

У меня нет аккаунта, я хочу Зарегистрироваться

How much to ban the user?
1 hour 1 day 100 years