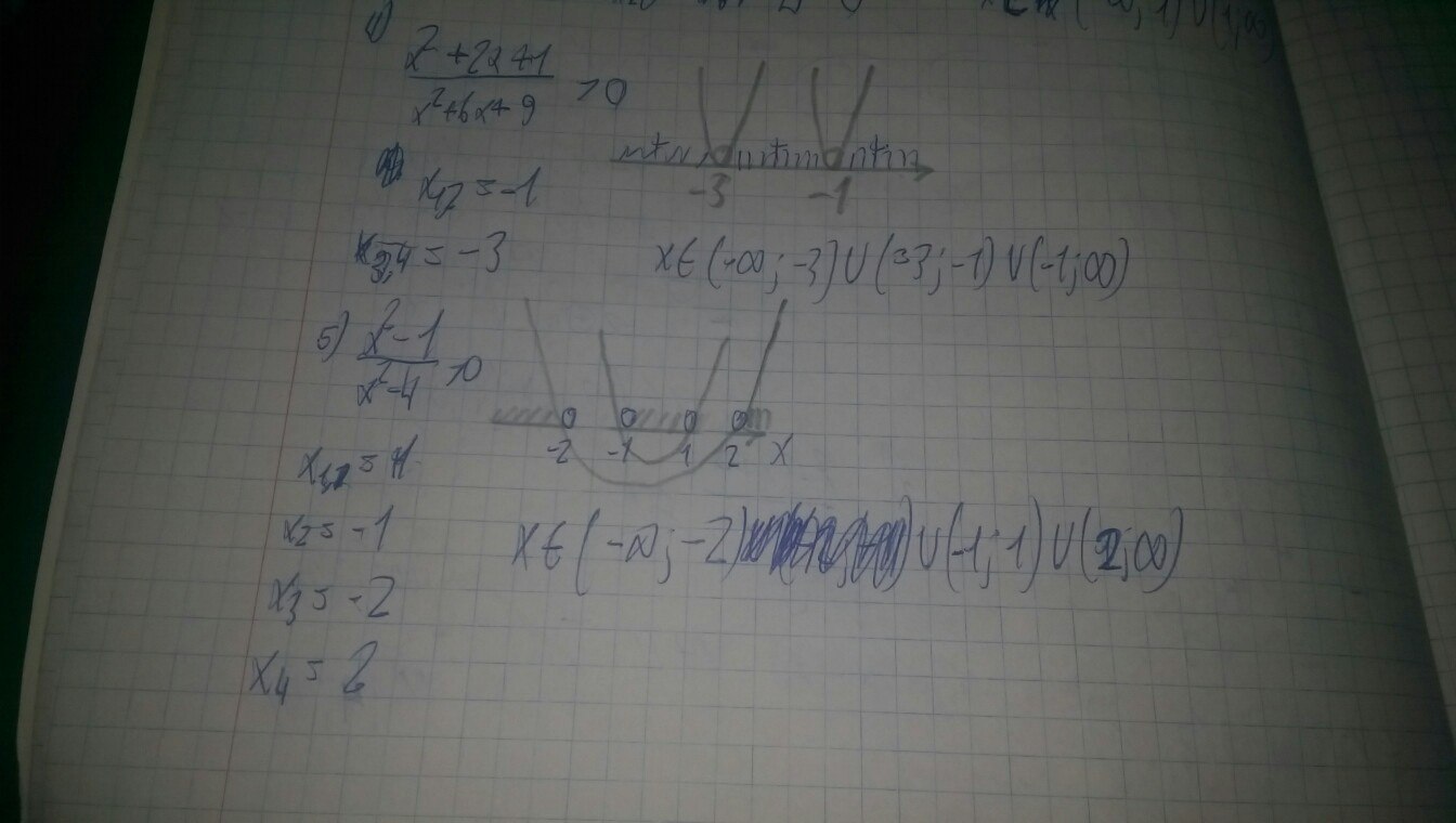
• Объясните пожалуйста,как и где расставлять знаки на примере этого квадратного неравенства (11 класс ,проходим решение неравенств графическим методом) .

    question img

Ответы 2

  • Я имею в виду ,что на графиках ещё изображена парабола или линия ,в некоторых и то и другое.Как там расставлять?
  • Куда можно ещё приложить фотографии
  • Добавить свой ответ

Войти через Google

или

Забыли пароль?

У меня нет аккаунта, я хочу Зарегистрироваться

How much to ban the user?
1 hour 1 day 100 years