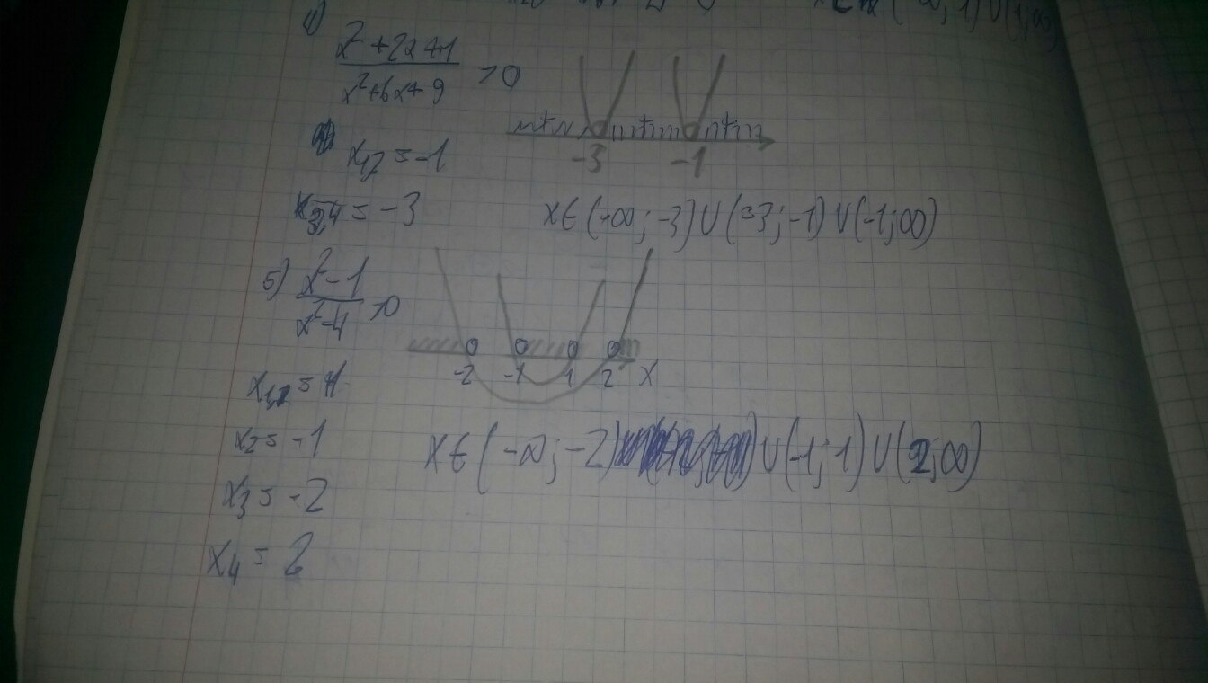
• Объясните пожалуйста,как и где расставлять знаки на примере этого квадратного неравенства (11 класс ,проходим решение неравенств графическим методом) .

    question img
    question img
    question img

Ответы 2

  • Это я и так знаю,не то это.Мне надо именно как на картинках рисуем линию рисуем параболу расставляем знаки.Например 4 пример(2 фото)почему знаки именно там,где они стоят.
    • Автор:

      jackbftw
    • 6 лет назад
    • 0
  • Всё решаем методом интервалов.
    answer img
  • Добавить свой ответ

Войти через Google

или

Забыли пароль?

У меня нет аккаунта, я хочу Зарегистрироваться

How much to ban the user?
1 hour 1 day 100 years