• Решить иррациональные уравнения.По плану.
    1.Преобразовать уравнение к виду √f(x)=g(x)
           f(x)- под корнем
    2.возвести обе части в квадрат
    3.решить получившееся уравнение
    4.проверка
    5.ответ

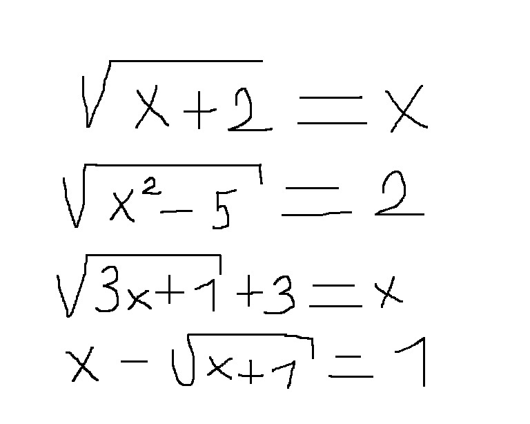
    question img

Ответы 2

  • Спасибо большое)))
  • 1)\; \;  \sqrt{x+2} =x\; ,\; \; ODZ:\; \; x \geq -2\\\\x+2=x^2\\\\x^2-x-2=0\\\\x_1=-1\; ,\; \; x_2=2\; \; (teorema\; Vieta)\\\\Proverka:\quad x=-1:\; \;  \sqrt{-1+2} e -1\; ,\; 1e -1\\\\x=2:\; \; \sqrt{2+2}=2\; ,\; \; \sqrt4=2\; ,\; \; 2=2\\\\Otvet:\; \; x=2.2)\; \; \sqrt{x^2-5}=2\; ,\\\\ODZ:\; x^2-5\geq 0\; ,\; (x-\sqrt5)(x+\sqrt5)\geq 0\\\\x\in (-\infty ,-\sqrt5)\cup (\sqrt5,+\infty )\\\\x^2-5=4\\\\x^2-9=0\\\\(x-3)(x+3)=0\\\\x_1=-3\; ,\; \; x_2=3\\\\Proverka:\; \; x_1=-3:\; \; \sqrt{9-5}=2\; ,\; \; \sqrt{4}=2\; ,\; \; 2=2\\\\x_2=3:\; \; \sqrt{9-5}=2\; ,\; \; 2=2\\\\Otvet:\; \; x_1=-3\; ,\; \; x_2=3\; .3)\; \; \sqrt{3x+1}+3=x\\\\\sqrt{3x+1}=x-3\; ,\; \; ODZ:\; \; x-3\geq 0\; ,\; x\geq 3\\\\3x+1=x^2-6x+9\\\\x^2-9x+8=0\\\\x_1=1otin ODZ\; ,\; \; x_2=8\\\\Proverka:\; \; x=8:\; \; \sqrt{25}+3=8\; ,\; \; 5+3=8\; ,\; \; 8=8\\\\Otvet:\; \; x=84)\; \; x-\sqrt{x+1}=1\\\\\sqrt{x+1}=x-1\; ,\; \; ODZ:\; \; x-1\geq 0\; ,\; \; x\geq 1\\\\x+1=x^2-2x+1\\\\x^2-3x=0\\\\x(x-3)=0\\\\x_1=0otin ODZ\; ,\; \; x_2=3\\\\Proverka:\; \; x=3:\; \; 3-\sqrt4=1\; ,\; \; 3-2=1\; ,\; 1=1\\\\Otvet:\; \; x=3\; .
  • Добавить свой ответ

Войти через Google

или

Забыли пароль?

У меня нет аккаунта, я хочу Зарегистрироваться

How much to ban the user?
1 hour 1 day 100 years