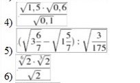
• Самостоятельная работа. Корень n – ой степени.Нужно решение ответы есть.25 балов!Найти значение выражения

    question img

Ответы 1

  • 4)Корень квадратный из чисел:1,5*6= корень квадратный из 9= 36)
  • Добавить свой ответ

Войти через Google

или

Забыли пароль?

У меня нет аккаунта, я хочу Зарегистрироваться

How much to ban the user?
1 hour 1 day 100 years