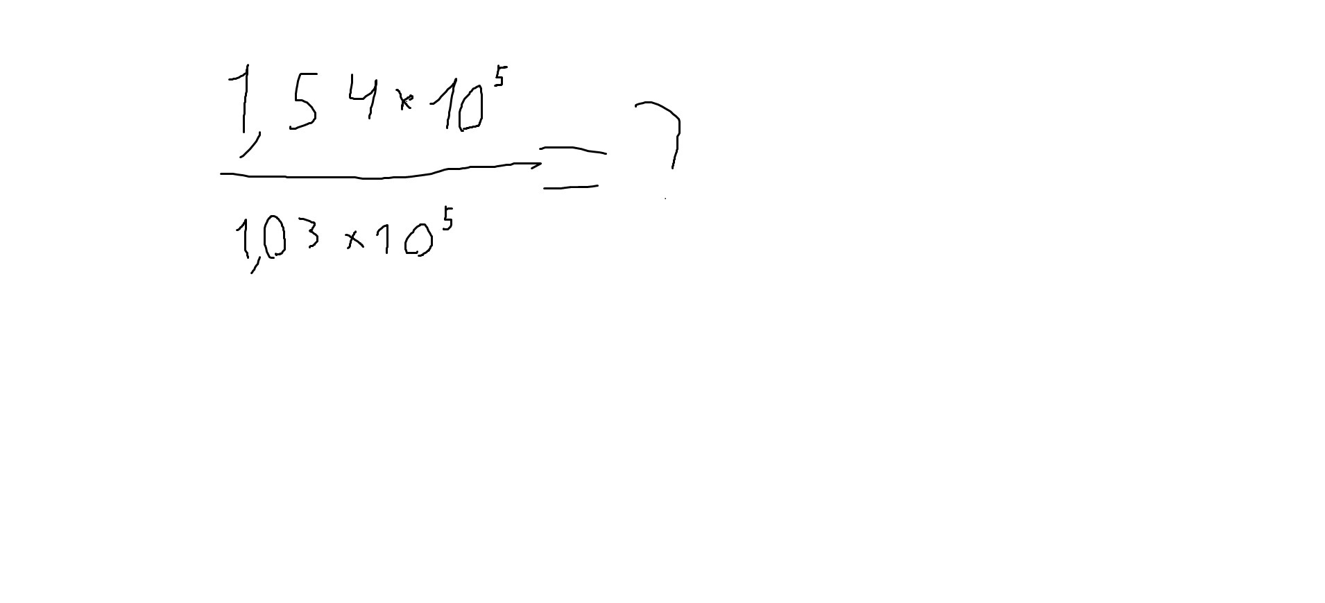
• Помогите решить плиз , округлить с точностью до тысячных

    question img

Ответы 1

  • Ответ: 0,149 или 0,15
    • Автор:

      sparks
    • 6 лет назад
    • 0
  • Добавить свой ответ

Войти через Google

или

Забыли пароль?

У меня нет аккаунта, я хочу Зарегистрироваться

How much to ban the user?
1 hour 1 day 100 years