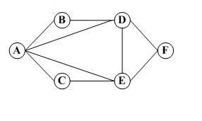
• Для приведённых ниже графов задайте веса рёбер по следующему правилу. Определить порядковые номера в латинском алфавите букв, являющихся концами ребра. Сложить эти номера и положить полученное число равным весу ребра. Например, вес ребра (BD) равен 2+4=6.
    Построить остов минимального веса для графа своего варианта.

    question img

Ответы 1

  • Волнистыми линиями обозначены грани, входящие в минимальное остовное дерево графа
    answer img
    • Автор:

      wilmaovoc
    • 6 лет назад
    • 0
  • Добавить свой ответ

Войти через Google

или

Забыли пароль?

У меня нет аккаунта, я хочу Зарегистрироваться

How much to ban the user?
1 hour 1 day 100 years