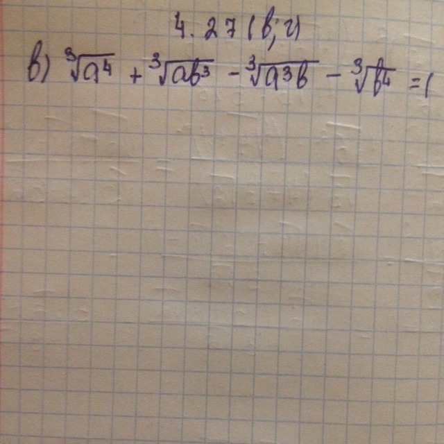
• Разложите на множители.
    Помогите , пожалуйста )
    Математика 11 класс

    question img

Ответы 1

  • Перепишем как ∛a^4 - ∛a^3b - ∛b^4 + ∛ab^3 = ∛a^3(∛a - ∛b) + ∛b^3(∛a - ∛b) = (∛a - ∛b)(∛a^3 + ∛b^3) = (∛a - ∛b)(a + b)
  • Добавить свой ответ

Войти через Google

или

Забыли пароль?

У меня нет аккаунта, я хочу Зарегистрироваться

How much to ban the user?
1 hour 1 day 100 years