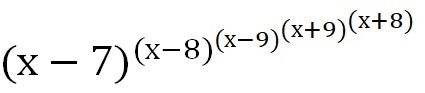
• Парни спасайте прошу если не сделаю мне хана  х=10

    question img

Ответы 1

  • x=1010-7 = 310-8 = 210-9 = 110+9 = 1910+8 = 183*2*1*19*18=2052
    • Автор:

      aydenzfxv
    • 6 лет назад
    • 0
  • Добавить свой ответ

Войти через Google

или

Забыли пароль?

У меня нет аккаунта, я хочу Зарегистрироваться

How much to ban the user?
1 hour 1 day 100 years