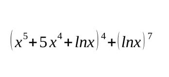
• Знайти похідну (Найти производную)
    Буду благодарен :)

    question img

Ответы 1

  • y'=7( x^{5} +5 x^{4}+lnx)^{6} *(5x+20x+ \frac{1}{x})+7(lnx)^{6}+ \frac{1}{x}
  • Добавить свой ответ

Войти через Google

или

Забыли пароль?

У меня нет аккаунта, я хочу Зарегистрироваться

How much to ban the user?
1 hour 1 day 100 years