• Решите уравнения.Без проверки

    question img

Ответы 1

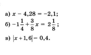
  • х - 4,28 = - 2,1х = - 2,1 + 4,28х = 4,28 - 2,1х = 2,18- 1 1/4 + 3/8х = 2 1/83/8х = 2 1/8 + 1 1/43/8х = 2 1/8 + 1 2/83/8х = 3 3/8х = 3 3/8 : 3/8х = 27/8 * 8/3х = 9|х + 1,6| = 0.4х + 1,6 = 0,4                 х + 1,6 = - 0,4х = 0,4 - 1,6                  х = - 0,4 - 1,6х = - 1,2                        х = - 2
  • Добавить свой ответ

Войти через Google

или

Забыли пароль?

У меня нет аккаунта, я хочу Зарегистрироваться

How much to ban the user?
1 hour 1 day 100 years