• Помогите расписать решение более подробно!!!
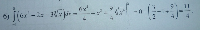
    Как получилось[tex] \frac{9}{4}[/tex] ?

    question img

Ответы 1

  • 9/4 получается при нахождении интеграла \int\limits^0_{-1} (-3\sqrt[3]{x}) \, dx =-3\cdot  \int\limits^0_{-1} x^{1/3} \, dx =-3\cdot  \frac{x^{\frac{1}{3}+1}}{\frac{1}{3}+1} \, \Big |_{-1}^0=\\\\=-3\cdot  \frac{x^{\frac{4}{3}}}{\frac{4}{3}}\, \Big |_{-1}^0=-3\cdot  \frac{3}{4}\cdot x^{\frac{4}{3}}\, \Big |_{-1}^0=  - \frac{9}{4}\cdot \sqrt[3]{x^4}\, \Big |_{-1}^0=\\\\=-\frac{9}{4}\cdot (\sqrt[3]{0^4}-\sqrt[3]{(-1)^4} )=- \frac{9}{4}\cdot (-1)=\frac{9}{4}
  • Добавить свой ответ

Еще вопросы

Войти через Google

или

Забыли пароль?

У меня нет аккаунта, я хочу Зарегистрироваться

How much to ban the user?
1 hour 1 day 100 years