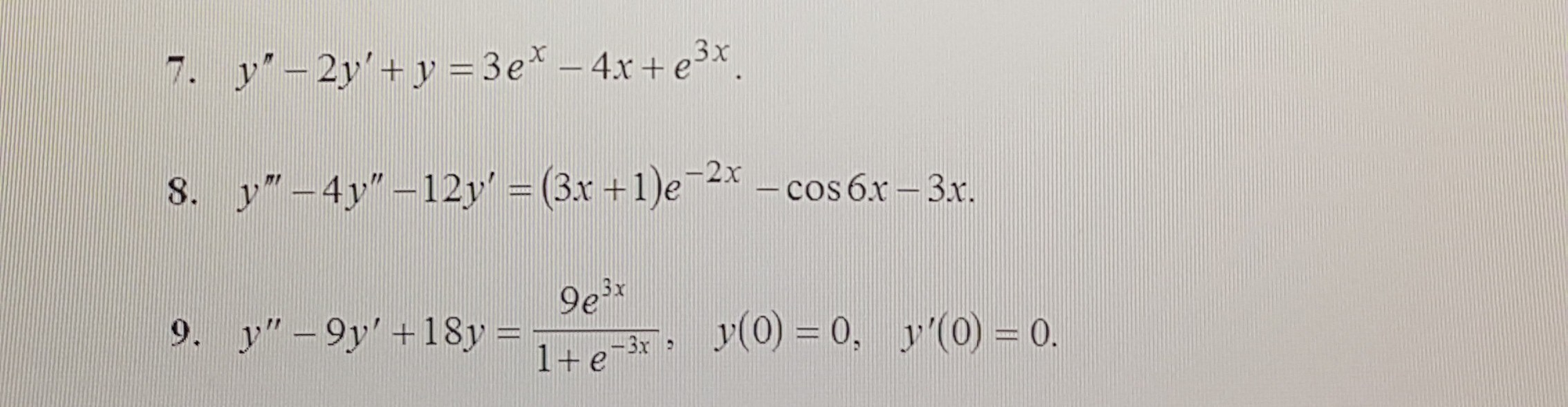
• Какое решение будет у таких дифференциальных уравнений?

    question img

Ответы 1

  • Рассмотрите решение для первого ДУ, на остальные не хватило времени.Просьба обратить внимание на то, что проверка не проводилась.PS. Интегралы для Z₁(х) и Z₂(х) брались отдельно, это обозначено одной и двумя зелёными метками.
    answer img
  • Добавить свой ответ

Войти через Google

или

Забыли пароль?

У меня нет аккаунта, я хочу Зарегистрироваться

How much to ban the user?
1 hour 1 day 100 years