• Даю за решение 30 баллов с: спасибо тому, кто решит

    question img

Ответы 1

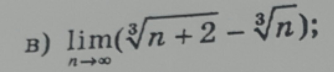
  •  \lim\limits _{n \to \infty} ( \sqrt[3]{n+2}-\sqrt[3]{n})=  \lim\limits _{n \to \infty}\frac{(\sqrt[3]{n+2}-\sqrt[3]{n})(\sqrt[3]{(n+2)^2}+\sqrt[3]{(n+2)n}+\sqrt[3]{n^2})}{\sqrt[3]{(n+2)^2}+\sqrt[3]{(n+2)n}+\sqrt[3]{n^2}}=\\\\\\= \lim\limits _{n \to \infty}  \frac{(n+2)-n}{\sqrt[3]{(n+2)^2}+\sqrt[3]{(n+2)n}+\sqrt[3]{n^2}} = \lim\limits _{n \to \infty}  \frac{2}{\sqrt[3]{(n+2)^2}+\sqrt[3]{(n+2)n}+\sqrt[3]{n^2}} =\\\\= [\; \frac{2}{\infty }\; ]=0
    • Автор:

      hermione
    • 6 лет назад
    • 0
  • Добавить свой ответ

Войти через Google

или

Забыли пароль?

У меня нет аккаунта, я хочу Зарегистрироваться

How much to ban the user?
1 hour 1 day 100 years