• Пожалуйста
    Очень срочно нужно
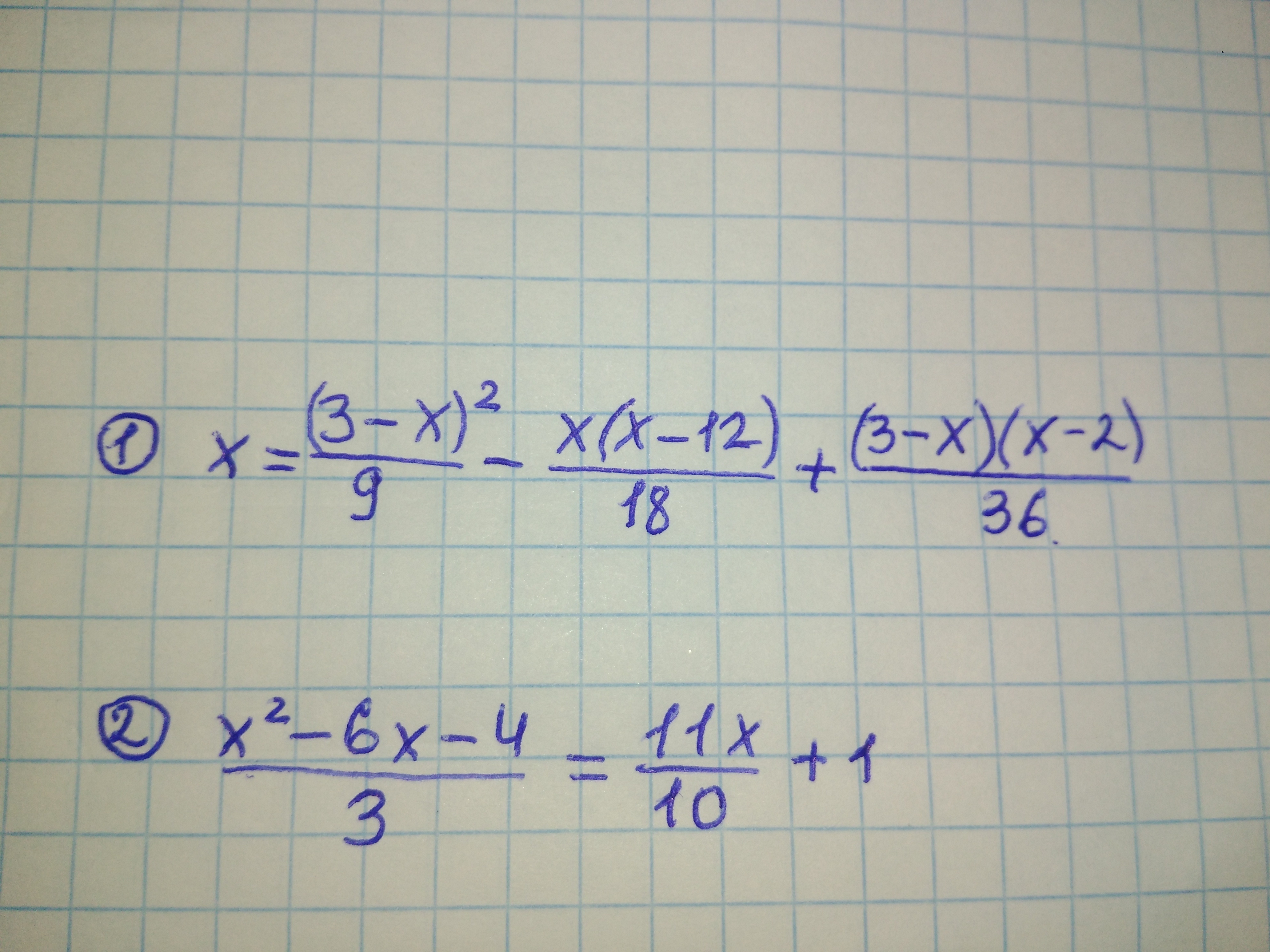
    X^2-6x-4/3 = 11x/10 + 1

    X=(3-x)^2/9 - x(x-12)/18 + (3-x)(x-2)/36

    question img

Ответы 1

  • вот решение,правда в виде скринов,но какое есть)
    answer img
  • Добавить свой ответ

Войти через Google

или

Забыли пароль?

У меня нет аккаунта, я хочу Зарегистрироваться

How much to ban the user?
1 hour 1 day 100 years